Admission Tests GRE - GRE General Test

The circle graph above shows the results of a survey conducted at a high school in which each student was asked to name one favorite sport, if any. Of the students who named a favorite sport, what percent of students named either baseball or hockey?
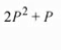
A rancher is planning to build an enclosed pen for horses on level ground. The pen will be rectangular with a length that is 2 times the width. If the perimeter of the pen will be P meters, which of the following represents the area, in square meters, of the pen in terms of P ?
A)

B)

C)

D)

E

The probability that event R will occur is 0.65. The probability that event T will occur is 0.47.

For a certain type of can. the number of grams of aluminum per can decreased by 20 percent from 1994 to 1998. while the cost per gram of aluminum decreased by 60 percent. If the cost of the aluminum in y cans in 1994 was equal to the cost of aluminum in A v cans in 1998. then k =
Of the S3 members of a certain club. 48 members enjoy boating and $3 members enjoy fishing. If all except 10 of the members of the club enjoy boating or fishing or both, how many members enjoy boating but not fishing?

A)

B)

C)

D)

E)

All applicants for a certain job will take a skills test. An applicant who scores 80 percent or greater on the test has a probability of 0.65 of being hired.

In the figure shown. ABCD is a square and E. F. G.and H are the midpoints of ihe respective sides. If AD = I, what is the sum of the areas of the shaded regions?
Give your answer as a fraction.




